T/CES 144-2022 变压器类产品用频域介电谱测试仪 校验导则 ,该文件为pdf格式 ,请用户放心下载!
尊敬的用户你们好,你们的支持是我们前进的动力,网站收集的文件并免费分享都是不容易,如果你觉得本站不错的话,可以收藏并分享给你周围的朋友。
如果你觉得网站不错,找不到本网站,可以百度、360搜搜,搜狗, 神马搜索关键词“文档天下”,就可以找到本网站。也可以保存到浏览器书签里。
收费文件即表明收集不易,也是你们支持,信任本网站的理由!真心非常感谢大家一直以来的理解和支持!
以下是针对《T/CES 144-2022 变压器类产品用频域介电谱测试仪校验导则》的详细总结。这份标准文件由中国电工技术学会提出,旨在规范变压器类产品(如10kV及以上等级变压器和套管)用频域介电谱(FDS)测试仪的校验流程,确保测试仪的准确性和可靠性。总结基于文档的核心内容,结构设计为多个层级(包括主要标题、子标题和列表),以全面覆盖范围、术语、项目、方法、条件、判定等关键部分。总结尽可能详细,保留了文档的技术细节和逻辑框架。
1. 文档目的与适用范围
- 目的:提供频域介电谱测试仪的校验指南,确保测试仪在变压器类产品现场测试中的性能准确,包括介质损耗因数、电容等关键参数的测量精度。
- 适用范围:适用于对10kV及以上电压等级的变压器、套管进行现场频域介电谱测试的仪器校验,不适用于其他类型设备。
- 法律依据:依据GB/T 1.1-2020《标准化工作导则》起草,并引用多项国家标准(如GB/T 2900.5、GB/T 6587等)作为规范性文件。
2. 核心术语和定义
文档基于GB/T 2900.5界定了关键术语,确保校验过程的统一理解:
- 介质损耗因数(tan δ):复相对电容率的虚部与实部之比的绝对值,反映绝缘材料的能量损耗特性。
- 介电响应:电介质在外施电压下电容和介质损耗因数随时间和频率变化的特性,分为时域和频域介电响应。
- 频域介电谱(FDS):电介质在正弦交流电压下,电容和介质损耗因数随频率(宽频率范围)变化的曲线关系,用于评估绝缘状态。
3. 校验项目分类
校验分为两类,确保测试仪在整个生命周期中的性能稳定性:
- 例行校验:每台仪器出厂前或验收时进行,作为出厂合格性检验,必须在正常试验条件下逐个执行。
- 定期校验:仪器使用过程中定期开展,如年度维护,以监控长期性能。
校验项目分为必须项(●)和可选项(○),具体见表1总结:
| 序号 | 校验项目 | 例行校验 | 定期校验 | 简要说明 |
|---|---|---|---|---|
| 1 | 外观检查 | ● | ● | 检查仪器外观、按键、接插件等完整性。 |
| 2 | 测试功能校验 | ● | ● | 验证软件功能、测试模式和分析能力。 |
| 3 | 输出电压和电流校验 | ● | ● | 确保电压和电流输出稳定且符合规范。 |
| 4 | 频率范围校验 | ● | ● | 验证输出频率范围及精度。 |
| 5 | 介质损耗因数范围及精度校验 | ● | ● | 测量介质损耗因数的范围和误差。 |
| 6 | 电容范围及准确度校验 | ● | ● | 测量电容的范围和误差。 |
| 7 | 电气安全性能校验 | ● | ○ | 包括绝缘电阻、介电强度和保护电路测试。 |
| 8 | 抗电磁干扰性能校验 | ● | ○ | 评估仪器在电磁环境下的抗干扰能力。 |
| 9 | 抗振性能校验 | - | ○ | 测试仪器在振动环境下的稳定性。 |
4. 校验方法和要求
校验方法基于第5节,每个项目有具体操作步骤和性能指标:
- 外观检查(5.1):
- 要求:仪器外观完好,按键灵活,接插件可靠,测试端子有功能标注,铭牌信息完整。
- 方法:目视检查和手动测试。
- 测试功能校验(5.2):
- 要求:软件运行正常,支持接地/非接地试品测试;具备FDS测试功能(显示介质损耗因数、复电容等曲线);能计算固体绝缘含水量和液体绝缘电导率;支持数据比对分析;宜有电压/电流实时显示和干扰告警功能。
- 方法:通电后运行测试软件,模拟不同试品连接。
- 输出电压和电流校验(5.3):
- 要求:输出电压峰值偏差≤±5%,频率偏差≤±1%,总谐波畸变率≤5%;最大连续输出电流≥20mA(有效值)。
- 方法:使用电压表、电流表和频率计测量,参考DL/T 2231-2021。
- 频率范围校验(5.4):
- 要求:频率范围覆盖100mHz~1000Hz,输出频率与设定值误差≤0.5%。
- 方法:连接试品后,测试多个频率点(如1000Hz至0.01Hz)。
- 介质损耗因数范围及精度校验(5.5):
- 要求:测量范围0~10,分辨率≤0.001%;误差要求:频率在10mHz~100Hz时<1%,频率<10mHz或>100Hz时<2%。
- 方法:连接标准电容和电阻(见表3),测量多频点tan δ值。
- 电容范围及准确度校验(5.6):
- 要求:电容范围覆盖100pF~100μF,测量偏差<1%。
- 方法:使用标准电容(如100pF和1000pF),测试多频点电容值。
- 电气安全性能校验(5.7):
- 绝缘性能:电源端子对机壳绝缘电阻≥2MΩ(500V测试);高压输出端子对机壳≥50MΩ。
- 介电强度:电源电路与外壳间施加工频2000V/1min,无击穿;高压输出端子与外壳间同样测试。
- 保护电路:内部电路需防止测试线短路或连接带电设备时的风险。
- 方法:使用兆欧表和介电强度测试仪。
- 抗电磁干扰性能校验(5.8):
- 要求:仪器在复杂电磁环境下保持精度,具体试验项目见表2总结:
端口 试验项目 方法标准 试验值 外壳 静电放电(ESD) GB/T 17626.2 接触放电8kV,空气放电15kV 外壳 射频电磁场辐射 GB/T 17626.3 10V/m (80MHz~1GHz) 交流电源 脉冲群 GB/T 17626.4 4kV (5/50ns, 100kHz) I/O信号 浪涌 GB/T 17626.5 4kV - 方法:在屏蔽实验室使用专业干扰源设备测试。
- 要求:仪器在复杂电磁环境下保持精度,具体试验项目见表2总结:
- 抗振性能校验(5.9):
- 要求:经三个轴向振动试验后,仪器无变形、松脱或涂层剥落。
- 方法:依据GB/T 6587-2012进行振动测试。
5. 校验条件和校验器具
基于第6节,校验需严格控制环境和设备:
- 环境条件(6.1):
- 温度:20℃~25℃,保持稳定。
- 湿度:30%~50%。
- 其他:实验室需电磁屏蔽,避免外界干扰。
- 校验用标准器具(6.2):
- 电压、电流和频率测量设备:满足GB/T 17215.211-2006要求。
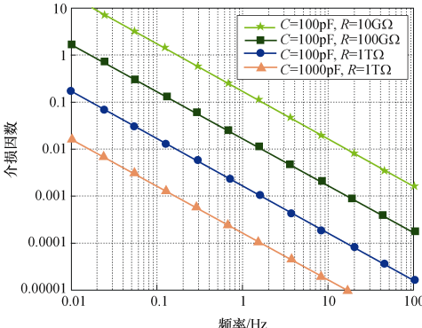
- 标准电容和电阻:见表3总结,需高精度(±0.5%):
名称 参数 值 精度 备注 标准电容1 电容值 100pF±5% ±0.5% 使用压缩气体绝缘,tan δ≈0 标准电容2 电容值 1000pF±5% ±0.5% 同上 标准电阻 电阻值 10GΩ/100GΩ/1TΩ ±0.5% 与电容并联形成标准tan δ参考电路 - 抗干扰装置:依据GB/T 17626系列标准选择。
6. 校验结果判定
基于第7节,校验结果需逐项评估并记录,判定是否符合要求:
- 外观判定(7.1):无损伤,功能键正常。
- 功能判定(7.2):软件和测试模式运行无误。
- 输出电压和电流判定(7.3):峰值、频率和畸变率达标。
- 频率范围判定(7.4):100mHz~1000Hz频段偏差<0.5%。
- 介质损耗因数判定(7.5):绝对误差≤0.1%,相对误差≤2%(多频点测试)。
- 电容判定(7.6):绝对误差<1pF,相对误差<0.5%。
- 电气安全性能判定(7.7):绝缘电阻和介电强度测试通过。
- 电磁兼容性能判定(7.8):通过所有干扰试验。
- 抗振性能判定(7.9):试验后无机械损伤,性能稳定。
- 综合判定(7.10):所有项目合格则仪器通过校验;不合格项需维修后复检。记录格式见附录A。
7. 附录A:校验记录和评估模板
附录A提供资料性模板,用于记录和评估校验结果:
- 电压校验记录(表A.1):记录峰值、频率设定值、测量值和偏差。
- 频率校验记录(表A.2):覆盖1000Hz至0.01Hz频点,计算频率偏差。
- 电容测试评估(表A.3):多频点测量电容值,计算相对误差。
- 介质损耗因数测试评估:分为绝对误差(表A.4)和相对误差(表A.5),参考标准电容-电阻并联电路。
该电路用于生成参考tan δ值,曲线示例如图A.1,展示了多个标准组合下的计算值曲线。

总结结论
《T/CES 144-2022》为变压器类产品用频域介电谱测试仪提供了全面的校验框架,涵盖从日常维护(定期校验)到出厂质量控制(例行校验)。通过标准化方法、严格的环境控制和详细的结果判定,确保测试仪在复杂现场条件下(如电磁干扰或振动环境)的测量精度,从而提升变压器绝缘状态评估的可靠性。该标准由多家权威单位(如中国南方电网、上海交通大学等)起草,体现了行业最佳实践。执行时需严格遵循规范性引用文件,并利用附录模板进行系统记录。

评论